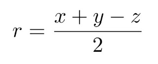
Há alguns dias, publiquei aqui que o raio do círculo inscrito no triângulo retângulo de lados 3-4-5 é 1. Agora vamos generalizar: o raio do círculo inscrito no triângulo retângulo de lados inteiros x, y e z também é um número inteiro, dado por:
****
Some days ago, I published here that the radius of the circle inscribed in the right triangle with sides 3–4–5 is 1. Now let's generalize: the radius of the circle inscribed in the right triangle with integer sides x, y and z is also an integer number, given by:
PCFilho


Nenhum comentário:
Postar um comentário
Regras para postar comentários:
I. Os comentários devem se ater ao assunto do post, preferencialmente. Pense duas vezes antes de publicar um comentário fora do contexto.
II. Os comentários devem ser relevantes, isto é, devem acrescentar informação útil ao post ou ao debate em questão.
III. Os comentários devem ser sempre respeitosos. É terminantemente proibido debochar, ofender, insultar e/ou caluniar quaisquer pessoas e instituições.
IV. Os nomes dos clubes devem ser escritos sempre da maneira correta. Não serão tolerados apelidos pejorativos para as instituições, sejam quais forem.
V. Não é permitido pedir ou publicar números de telefone/Whatsapp, e-mails, redes sociais, etc.
VI. Respeitem a nossa bela Língua Portuguesa, e evitem escrever em CAIXA ALTA.
Os comentários que não respeitem as regras acima poderão ser excluídos ou não, a critério dos moderadores do blog.